Synthesis of New Hydrazones Containing 1,3-Diketo Moiety
DOI:
https://doi.org/10.70130/RCS.2025.0201001Keywords:
1,3-diketo amino compounds, hydrazones, antimicrobials, azetidinone, β-lactam, synthesis, thiazolidinoneAbstract
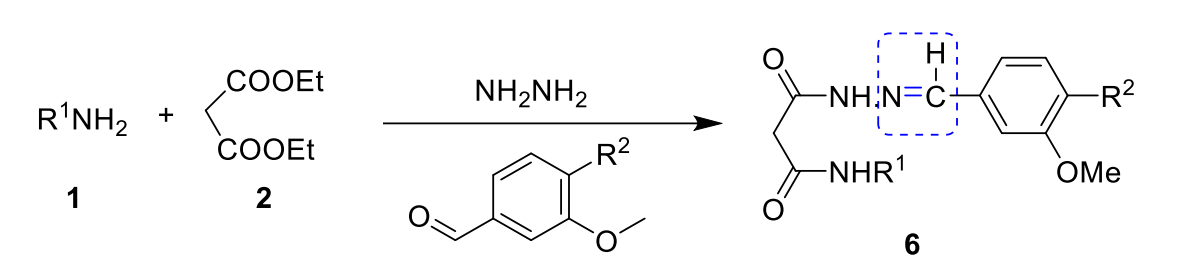
A series of novel hydrazones containing a 1,3-diketo moiety, namely 3-[(2E)-2-(4-hydroxybenzylidene)hydrazino]-3-oxo-N-phenylpropanamides (6a-j), were synthesized as precursors for biologically important β-lactam and thiazolidinone derivatives. The synthesis involved the condensation of 3-methoxy-4-hydroxybenzaldehyde or 3-methoxy-4-acetyloxybenzaldehyde with various substituted malonanilic acid hydrazides. The hydrazides (4a-e) were prepared by refluxing aniline with diethyl malonate, followed by treatment with hydrazine hydrate. The structures of the synthesized compounds were confirmed by elemental analysis and spectroscopic techniques, including IR, and 1H NMR spectrometry. The purity of the compounds was ascertained by thin-layer chromatography. The synthesized hydrazones (6a-j) were obtained in good yields (62-83%) and were soluble in dimethylformamide. The present study provides a foundation for further exploration of these 1,3-diketo amino compounds as promising scaffolds for developing novel heterocyclic compounds with diverse biological activities.
References
Al-Kahraman, Y. M. S. A., Yasinzai, M., & Singh, G. S. (2012). Evaluation of some classical hydrazones of ketones and 1,2-diketones as antileishmanial, antibacterial and antifungal agents. Archives of Pharmacal Research, 35(6), 1009–1013. https://doi.org/10.1007/s12272-012-0608-7
Cihan-Üstündağ, G., Şatana, D., Özhan, G., & Çapan, G. (2015). Indole-based hydrazide-hydrazones and 4-thiazolidinones: Synthesis and evaluation as antitubercular and anticancer agents. Journal of Enzyme Inhibition and Medicinal Chemistry, 1–12. https://doi.org/10.3109/14756366.2015.1024673
Fang, Z.-Y., Qi, L., Song, J.-Y., Ren, P.-X., Hou, C.-Y., Ji, S.-C., Wang, L.-J., & Li, W. (2020). Phi(oac)2‐promoted 1,2‐diaza‐cope rearrangement of β,γ‐unsaturated hydrazones with acetate/h2o: Access to diacyl/acyl n‐allylhydrazines. European Journal of Organic Chemistry, 2020(33), 5464–5468. https://doi.org/10.1002/ejoc.202000875
Halve, A. K., Bhashkar, B., Sharma, V., Bhadauria, R., Kankoriya, A., Soni, A., & Tiwari, K. (2008). Synthesis and in vitro antimicrobial studies of some new 3-[phenyldiazenyl] benzaldehyde N -phenyl thiosemicarbazones. Journal of Enzyme Inhibition and Medicinal Chemistry, 23(1), 77–81. https://doi.org/10.1080/14756360701408614
Halve, A. K., Gour, P., Dubey, R., Bhadauria, D., & Bhaskar, B. (2005). Synthesis and antimicrobial screening of 2′-hydroxy-5’- (phenylazo)-N- (1″, 3″-diketophenylamine)-3-chloroazetidin-2-ones. Indian Journal of Chemistry – Section B Organic and Medicinal Chemistry, 44(10), 2163–2165. https://doi.org/10.1002/chin.200604098
Kaur, R., Singh, R., Ahlawat, P., Kaushik, P., & Singh, K. (2020). Contemporary advances in therapeutic portfolio of 2-azetidinones. Chemical Biology Letters, 7(1), 13–26.
Kaur, R., Singh, R., Kumar, A., Kaur, S., Priyadarshi, N., Singhal, N. K., & Singh, K. (2020). 1,2,3-triazole β-lactam conjugates as antimicrobial agents. Heliyon, 6(6), Article e04241. https://doi.org/10.1016/j.heliyon.2020.e04241
Kaur, R., Tripathi, D., Singh, K., & Singh, R. (2018). Recent advances in β-lactam chemistry. Journal of Integrated Science and Technology, 6(2), 46–51.
Li, B., Liú, D., Hu, Y., Chen, J., Zhang, Z., & Zhang, W. (2021). Nickel‐catalyzed asymmetric hydrogenation of hydrazones. European Journal of Organic Chemistry, 2021(23), 3421–3425. https://doi.org/10.1002/ejoc.202100642
Micheletti, G., Boga, C., Forlani, L., Del Vecchio, E., Zanna, N., Mazzanti, A., & Monari, M. (2017). Hydroxy‐ and methoxybenzene derivatives with benzenediazonium salts – Chemical behavior and tautomeric problems. European Journal of Organic Chemistry, 2017(5), 964–974. https://doi.org/10.1002/ejoc.201601393
Monge, D., Daza, S., Bernal, P., Fernández, R., & Lassaletta, J. M. (2013). Synthesis of enantioenriched azo compounds: Organocatalytic Michael addition of formaldehyde n-tert-butyl hydrazone to nitroalkenes. Organic and Biomolecular Chemistry, 11(2), 326–335. https://doi.org/10.1039/c2ob26963e
Nasseri, M. A., Salimi, M., & Esmaeili, A. A. (2014). Cellulose sulfuric acid as a bio-supported and efficient solid acid catalyst for synthesis of pyrazoles in aqueous medium. RSC Adv, 4(105), 61193–61199. https://doi.org/10.1039/C4RA11440J
Prieto, A., Melot, R., Bouyssi, D., & Monteiro, N. (2015). Palladium‐catalyzed c(sp2)-h alkylation of aldehyde‐derived hydrazones with functionalized difluoromethyl bromides. Angewandte Chemie, 55(5), 1885–1889. https://doi.org/10.1002/anie.201510334
Rathore, B. S., & Ittyerah, P. I. (1960). Synthesis of some new acid hydrazides and hydrazones. Journal of the Indian Chemical Society, 37, 591–593. https://doi.org/10.5281/zenodo.6538489
Reddy, A. L. V. K. (2017). Synthesis, characterization and anti-inflammatory activity of hydrazones bearing 5-nitro-furan moiety and 5-iodo-vanillin hybrid. World Journal of Pharmaceutical Research, 982–993. https://doi.org/10.20959/wjpr201711-9635
Safaei, S., Mohammadpoor-Baltork, I., Khosropour, A., Moghadam, M., Tangestaninejad, S., Mirkhani, V., & Khavasi, H. (2013). [Bmim][InCl4]-Catalyzed Addition of Hydrazones to β-Diketones: An Efficient Regioselective Synthesis of Pyrazoles and Pyrazole-Fused Cyclohexanones. Synlett, 24(9), 1086–1090. https://doi.org/10.1055/s-0032-1316900
Syed Ameen, S. T., Vilvanathan, A., Khader, S. Z. A., & Mahalingam, G. (2020). Microwave-assisted green synthesis of β-diketone hydrazone derivatives and evaluation of their antioxidant and antibacterial activities. Current Microwave Chemistry, 7(3), 222–229. https://doi.org/10.2174/2213335607999200917145217
Wei, D., Ma, H., Zhou, X., Shi, C., Luo, X., & Huang, G. (2017). Cobalt and copper co–catalyzed three‐component reactions for the synthesis of 1,3,4‐trisubstituted pyrazoles. ChemistrySelect, 2(22), 6231–6234. https://doi.org/10.1002/slct.201700987
Yang, X., Zhang, S., Zhang, L., Zhang, B., & Ren, T. (2020). Rhombic dodecahedral cu2o‐catalysed synthesis of novel alkenyl pyrazoles. European Journal of Inorganic Chemistry, 2020(7), 613–616. https://doi.org/10.1002/ejic.201900959
Yu, K., Meng, W., Feng, X., & Du, H. (2023). Asymmetric hydrogenation of hydrazones with chiral boranes. Organic Letters, 25(20), 3607–3610. https://doi.org/10.1021/acs.orglett.3c00843
Downloads
Additional Files
Published
License
Copyright (c) 2025 RSYN Chemical Sciences

This work is licensed under a Creative Commons Attribution-NonCommercial-NoDerivatives 4.0 International License.